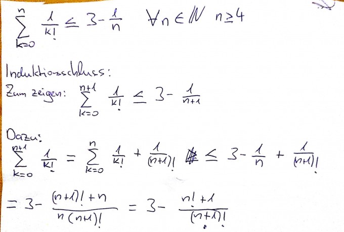
Vollstanige Induktion Summe N Uber K 0 1 K 3 1 N 1 Fur Alle N Element Von N N 4 Mathelounge
Stirling Numbers Of The Second Kind Wikipedia
Is 0 Really 1 Helbring Schueltz Publikationen
Wallis Product Wikipedia
Construct A Turing Machine For Language L 0n1n2n N 1 Geeksforgeeks
Npda For Accepting The Language L An Bn N 1 Geeksforgeeks
Proof That P Is Irrational Wikipedia
Quantum Numbers Are Just Like Address Of Electron In An Atom
Example 25 Find Integral X2 1 Dx As Limit Of A Sum Examples
Grenzwert Warum Gilt Folgende Gleichung Lim 1 1 N N 3 E Fur N Mathelounge
Characterizations Of The Exponential Function Wikipedia
Example 26 Evaluate Integral Ex Dx As The Limit Of A Sum
Why Sin N Pi 0 And Cos N Pi 1 N Mathematics Stack Exchange
Alternating Series Test Video Khan Academy
What Is The Z Transform Of 1 N Quora
Http Faculty Nps Edu Rcristi Ec3400online Homework Solutions Solutions Chapter3 Pdf
Cosc 3100 Fundamentals Of Analysis Of Algorithm Efficiency Ppt Video Online Download
Riemann Zeta Function Wikipedia