Vollstandige Induktion A N 1 3 J 1 18 1 2 1 3 N Fur N 3 Beweisen Mathelounge
Vollstandige Induktion Beweis Von 1 N I 1 2 2 I 1 3 I 4 3 N Summenzeichen Reihe Mathelounge
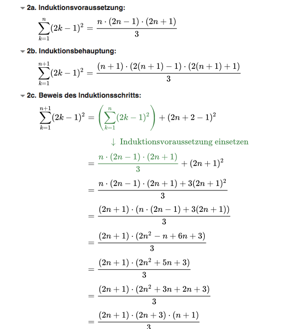
Vollstandigen Induktion Summenformel Ungerade Quadratzahlen 3 K 1 Bis N 1 2k 1 2 4n 3 12n 2 11n 3 Mathelounge
Direkter Und Indirekter Beweis Serlo Mathe Fur Nicht Freaks Wikibooks Sammlung Freier Lehr Sach Und Fachbucher
Vollstandige Induktion Beispiele Serlo Mathe Fur Nicht Freaks Wikibooks Sammlung Freier Lehr Sach Und Fachbucher
1 1 3 Hier Der Beweis Geht Nicht Gibts Nicht Alles Ist Moglich Bye Bye Probleme Youtube
Vollstandige Induktion Serlo Mathe Fur Nicht Freaks Wikibooks Sammlung Freier Lehr Sach Und Fachbucher
Intuitiv Anschauliche Beweise Dunkelmunkel
Beweis Durch Vollstandige Induktion Summe Von Drei Aufeinanderfolgenden Naturlichen Zahlen Ist Durch 3 Teilbar Mathelounge
Faulhabersche Formel Wikipedia
Mathepluskurs De Mathe Plus Kurs Am Dbg Oberasbach
Wie Komme Ich Bei Der Induktion Auf Dieses Ergebnis Mathe Uni Beweis
Zahlen I Von Den Naturlichen Zahlen Zu Den Komplexen Zahlen Ppt Herunterladen
Hohere Mathematik 1 Losungshinweise Zu Den Hausaufgaben
2 1 Beweis Gefahr Beim Teilen Durch 0 Mathe By Daniel Jung Youtube
Das Beweisverfahren Der Vollstandigen Induktion Pdf Free Download
Reihen Endliche Schreibweise Und Beweis Durch Induktion 2 4 6 8 10 2n N 1 N Mathelounge
Aufgaben Beweismethoden Rwth